本文摘要
除了在工业化学品、聚合物和石化衍生燃料合成中发挥长期作用外,催化剂在向低环境影响的循环工业再生过程的绿色转型中,发挥着日益重要的作用。马尔文帕纳科仪器和技术可以帮助您更深入地了解催化剂的材料特性,从而实现您的可持续发展目标。
概述
100多年来,多相催化剂始终居于化工行业的核心位置,成功实现了从生产日用化学品和精细化学品向净化汽车尾气中有害气体等应用的转型升级。目前,在充分挖掘废弃原料价值、探索环保运输燃料路径以及更智慧地利用稀缺元素等需求的助推下,我们正迎来催化剂应用的新时代。
要想在这场新兴市场的竞争中立于不败之地,就必须深入了解催化剂材料的基本理化特性,而马尔文帕纳科恰好能够在这方面发挥所长。我们在设计、制造和供应各类材料分析仪器方面拥有60多年的丰富经验,无论您是从事研究还是生产,我们都能为您提供有关多相催化剂材料特性方面的建议。

应对催化剂研发和生产的三大挑战
1.开发具有新特性的材料
开发新型催化剂是一项艰难的平衡,这不仅需要精细调整催化剂活性和/或选择性,同时还要对表面特性具有深刻了解。这一切都与众多催化活性元素的稀缺性和高成本,以及提高可持续性和减少环境影响的需求密不可分。经济去碳化既是机遇也是新的挑战。
马尔文帕纳科技术可以帮助科研和工业:
减少对稀缺元素的依赖
了解分层孔径分布
了解局部结构
在装载过程中对基底颗粒进行表征
控制催化剂载体上活性位点的分布
2.优化和检测制造过程
良好的过程控制是催化剂制造的核心,可用于检查各生产阶段的材料是否符合预期标准,也可用于优化过程(尤其是扩大规模) 以降低成本。从分析的角度来看,部分挑战在于测量的及时性,这正是旁线测量仪器真正能发挥作用的地方,它有助于简化决策过程,从而实现明确的投资回报。
马尔文帕纳科设备提供离线或在线分析模式,易于操作,完整数据轻松获得:
以负责任和可持续的方式使用原材料
检查是否符合纯度规格
预测涂层的稳定性
解决生产中粒度、化学、结构方面的各种问题
3.了解催化剂性能
催化剂的性能不仅仅取决于最初在反应器中发生情况的影响,其随时间变化的性能对于其商业成功至关重要。在更长的时间范围内对工业相关规模的催化剂进行原位分析是学术界和工业界的一系列卓有成效的研究方向,而马尔文帕纳科仪器恰好可以在这方面发挥所长。
马尔文帕纳科离线和在线版本使用相同的技术,有助于将结果从早期研究转移到后期开发:
放大研究方法
研究催化剂的物理稳定性和使用寿命
在装载过程中对基底颗粒进行表征
控制催化剂载体上活性位点的分布
马尔文帕纳科催化表征解决方案
易于操作的元素分析技术

X射线荧光光谱+电控熔融技术
Zetium和Epsilon系列XRF光谱仪,提供了一种简单易用的方法来分析元素组成,监测微量元素和检测杂质。具备出色的灵敏度(低至0.1ppm),适用于全元素范围的独立研发应用和过程控制,且在基质元素和ppm级杂质的测量方面比ICP更可靠。
FORJ火蝾和LeNeo电控熔样机,即可制备用于XRF分析的玻璃熔片,也可制备用于ICP分析的过氧化物或硼酸盐熔液。对催化剂材料尤其适用,熔片样品消除了粒度、矿物效应和表面粗糙度等因素的任何影响。
此外,马尔文帕纳科还提供在线XRF分析技术:
连续监测料液的计量偏差
持续检测反应釜中的成分变化
连续测量连续卷涂层的在线成分分析
高分辨粒度分布

激光衍射+动态光散射+图像法
Mastersizer 3000+高速智能激光粒度仪可快速、准确地测定粉末、悬浊液和乳液的粒度分布,测量范围达到0.01-3500 μm,使其成为适用于大多数粒度测定应用的、可靠的通用型仪器。

使用Mastersizer 3000+,准确测试出Vulcan XC-72炭黑三种Pt负载水平的粒度分布,显示在最低负载量时,粒径为的双峰分布。
Morphologi 4和Hydro Insight可以利用图像法对颗粒粒形进行分析,自动化还意味着可以对大样本集(通常为10,000至500,000个颗粒)进行分析。
Zetasizer Advance系列纳米粒度电位仪可以用于200-300nm以下粒度范围颗粒的粒度检测。
此外,马尔文帕纳科还提供在线粒度分析系统。Insitec系统专为在线监测而设计,每隔几秒钟即可对指定粒度范围内的粉末、乳液、喷雾及浆料进行实时分析(透镜可覆盖0.1-2500 μm粒度范围)。
可靠的zeta电位测量技术

动态光散射+电泳光散射
Zetasizer Advance系列纳米粒度电位仪可以用于准确测量zeta电位。在催化剂制造中,颗粒所带电荷在粘附和聚集过程中起着重要作用,可以通过电泳光散射 (ELS) 测量的zeta电位来量化电荷生成的倾向性。

颗粒的净电荷接近于零时,由于聚集和絮凝作用,大颗粒的形成趋势得到加强。可通过改变分散剂的pH值来防止絮凝并实现稳定。
功能强大的相分析技术

X射线衍射
Aeris和Empyrean锐影X射线衍射仪是备受催化剂业内人士青睐的两款XRD仪器。了解结晶相的原子结构是确定多相催化剂的构效关系和反应机理的重要组成部分。

该图显示了Aeris在反射模式下对两个金属有机框架 (MOF) 样品进行的两次五分钟测量,每个样品都是在不同条件下处理。即使是五分钟的扫描也可以立即显示处理参数是否影响结晶相纯度。
Empyrean锐影是多功能的衍射平台,提供各种测试选项,特别适合研发实验室,除了完成Aeirs的所有工作以外,它还可以:
对催化剂材料进行广泛的动态现场原位表征或原位测量,可洞悉实际情况
使用小角X射线散射 (SAXS) 确定催化剂支架的更大尺寸(和孔径)
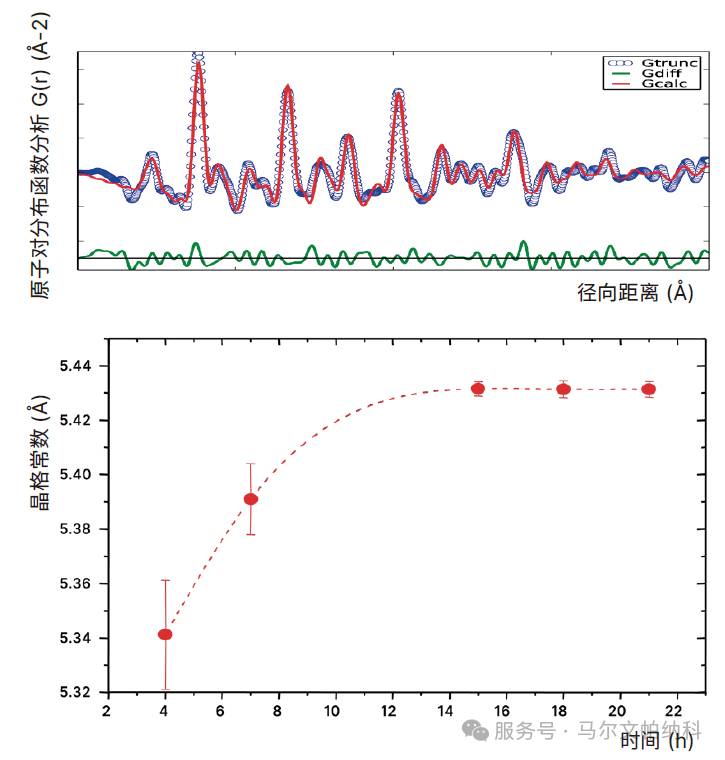
使用X射线全散射和原子对分布函数分析 (PDF) 了解非晶材料的局部结构



2024年底麦克默瑞提克加入马尔文帕纳科,随着两家公司的正式融合,Micromeritics在表面积、孔隙率、催化活性、密度、催化剂评价等方面的先进分析技术,完美补充马尔文帕纳科催化剂材料表征矩阵,为催化剂研发和生产提供了多维度的表征解决方案。点击下列链接,领取马尔文帕纳科&麦克默瑞提克催化剂表征-选型工具箱。