Hot
锂离子电池电极材料的晶相分析

在上篇《锂离子电池电极材料的晶相分析(一)》中我们讲到锂离子电池中的电极是使用由悬浮在粘结剂溶液中的活性电极颗粒和导电添加剂多组分浆料涂覆在金属箔基材上制成的,它对电池的电化学性能有着决定性的影响。
我们可以通过晶相组成和晶粒大小等参数可以描述电极材料的晶相特征和晶相组成(例如NCM正极材料中的Ni浓度),继而掌握控制充放电循环过程中的能量密度和材料稳定性。
在研究新的正极材料时,需要小心地控制晶相组成。但是,仅靠起始材料的化学组成正确并不能确保最 终正极材料的晶相组成的正确,因为反应物不大可能只融合成单个晶相,这就要求对最 终正极材料进行晶相分析。另一个与晶相相关的重要参数,即晶粒大小,代表着共格晶畴,这在通常情况下可能与图 1 所示的颗粒粒度不同。

图1 显示晶粒大小与颗粒粒度之间差异的图示
但是,在原级颗粒成核并随后聚团形成较大的次级颗粒的过程中,晶粒大小和原级颗粒粒度之间可能存在相关性。
如何掌握原级颗粒粒度的信息?这对了解电极材料中的离子扩散非常重要。下面的实验,我们通过马尔文帕纳科Empyrean 锐影Nano版 X射线散射系统进行USAXS分析,为样品提供了有关原级颗粒度的信息。
实例分析
在本研究中,除上篇推文中提到的使用Aeris台式 X 射线衍射对五种 LMFP正极材料进行了晶相组成和晶粒大小的测定以外,为了找出晶粒大小和原级颗粒粒度之间的相关性,我们还使用超小角 X 射线散射 (USAXS) 测量了几份样品,以确定原级颗粒粒度。此外,实验还使用XRD测量了负极材料合成石墨样品,并给出了样品的石墨化度。
USAXS 测量
室温 USAXS 测量是在 Empyrean 锐影Nano 版X射线散射系统上执行的,该衍射仪配置了高分辨率光学模块,在入射和衍射射束侧均配有晶体单色器。该设置能够使用从 0.01° 开始的散射数据在 Ultra SAXS 仪器上进行测量。在 -0.01° 至 0.4° 之间的扫描范围内采集 X 射线散射数据,并使用马尔文帕纳科的 EasySAXS 软件对采集的 X 射线散射数据进行了分析。
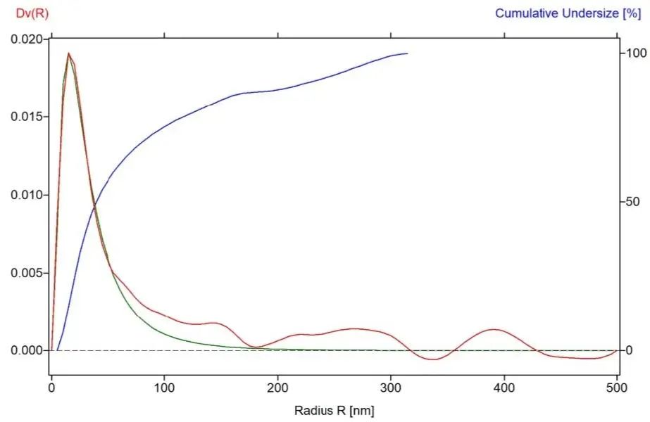
图2 显示了纯 LFP 样品颗粒的粒度体积分布 (Dv(r)) 和颗粒半径 (R)。在该样品中,使用对数正态近似法计算出的中值粒径为 56 nm,这与通过 XRD 测量获得的晶粒大小 (56 nm) 非常相关。

图2 粒度体积分布源自 LFP (0% Mn) 样品的 USAXS 数据。
红色线表示 Dv(R) 体积加权粒度分布曲线,蓝色线表示粒度分布曲线下的累计值 (%),绿色线表示对数正态近似曲线。
应当注意的是,使用 USAXS 测量的粒度是原级颗粒粒度。实验中,还使用马尔文帕纳科超高速激光粒度仪 Mastersizer 3000 上的激光衍射功能测量了次级颗粒粒度,结果为 2.97μm。在另一个样品上使用 USAXS 测量了颗粒粒度,并且还发现其与相应的晶粒大小具有良好的相关性。
合成石墨的石墨化度
石墨化度 (g) 可以通过使用等式 (1) 从 002 晶格面的样品峰位相对于理想石墨峰位的位移来测量:

其中 g (%) 是石墨化度,0.3440 nm 是完全不可石墨化碳的层间距,0.3354 nm 是理想石墨晶体的层间距,d (002) 是样品 002 峰对应的层间距。

图3 根据 XRD 图样中的 d (002) 峰位移得出的石墨化度。红色是测得的衍射图,而绿色、灰色和棕色曲线是拟合峰。
有时材料可能含有两个具有不同石墨化度的晶相。在这种情况下,可以使用峰面积加权平均值来计算平均石墨化度。由于计算精度取决于峰位测量的准确度,因此建议增加一些已知 XRD 峰位不与石墨峰重叠的参比样品。图 3 显示了一种此类合成石墨样品中通过 XRD 测量获得的石墨化度,其中添加了 Si 粉末作为参比。
实验结论
Conclusion
综合两篇推文所做的实验研究,可以得出马尔文帕纳科Aeris 台式XRD 可用于分析电池电极材料的晶相,以测量晶相组成、晶粒大小和石墨化度等重要参数。
此外,马尔文帕纳科Empyrean锐影Nano版多功能X射线散射平台上的 USAXS 分析还可以提供有关原级颗粒粒度的信息,这对于了解电极材料中的离子扩散非常重要。通过实验,在所检测的 LMFP 样品中,发现原级颗粒粒度和晶粒大小之间存在良好的相关性。
Empyrean 锐影 Nano版

Empyrean锐影Nano版多功能X射线散射系统,是指在Empyrean锐影平台上以ScatterX78为主构筑的散射系统,主要是对纳米材料进行小角和广角X射线散射(SAXS/WAXS)测量的专业级分析工具。Scatter X78可用于测量从0.08度(2theta)起的SAXS数据和高达78度(2theta)的高质量WAXS数据。因其在锐影平台上具有优异的分辨率、灵敏度和测量速度,甚至还可用于测量弱散射强度的低浓度稀释样品。
关注“马尔文帕纳科”微信公众号,获取相关产品手册。